Calculus
Calculus and the Legend of the Founding of Carthage
How modern calculus of variations solved an ancient math problem.
Calculus
How modern calculus of variations solved an ancient math problem.
Optimization
How to solve constrained optimization problems.
Geometry
An accidental introduction to field theory.
PDE
Flows and fields
Relativity
Problem-solving in special relativity.
Astrophysics
The laws of planetary motion.
Quantum Physics
“So do any of you guys know quantum physics?” Paul Rudd in Avengers: Endgame
Analysis
Ways of determining when an equation is equal to zero
Mathematics
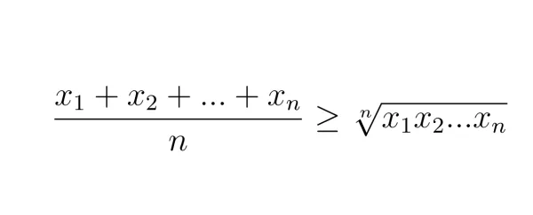
Suppose that x and y are non-negative real numbers, not necessarily distinct. The famous arithmetic-geometric mean inequality says that:
Quantum Mechanics
Why we need quantum physics.
Physics
Explained as simply as possible, but no simpler.
Physics
Bonus: Separation of Variables