Physics
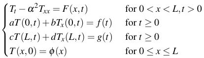
The Heat Equation: Inhomogeneous Boundary Conditions
This is the third article in my series on partial differential equations. Before reading further you might want to read part one (9…
Physics
This is the third article in my series on partial differential equations. Before reading further you might want to read part one (9…
Physics
The inhomogeneous heat equation
Physics
Your first PDE. Bonus: Fourier series.
Mathematics
Approximating functions near points. It’s cooler than it sounds, trust me.
Mathematics
An introduction to relaxation algorithms for applications in physics.
Physics
Math for continuum mechanics, part 1.
Mathematics
An introduction to abstract algebra with no prerequisites, and a computer science application.
Physics
How to write down a theory
Mathematics
A gentle introduction
Mathematics
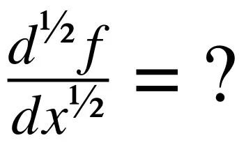
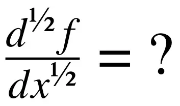
“A paradox from which one day useful consequences will be drawn.” ~Gottfried Leibniz
Physics
Today’s article is going to discuss an obscure but powerful integration technique most commonly known as differentiation under the integral sign, but occasionally referred to as “Feynman’s technique” ...