Mathematics
How to Perform Calendar Calculations
In less than 30 minutes, learn how to calculate which weekday any given date occurs on
Mathematics
In less than 30 minutes, learn how to calculate which weekday any given date occurs on
Game Theory
Why politicians move to the center
Astronomy
How to Estimate the Number of Aliens in the Milky Way
Physics
The year is 1905. Newly graduated with a Ph.D. in physics, Albert Einstein publishes the paper Über einen die Erzeugung und Verwandlung des Lichtes betreffenden heuristischen Gesichttspunkt (“On a Heuristic Viewpoint Concerning the Production and Transformation of Light”).
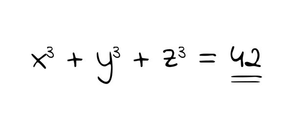
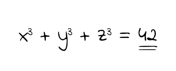
Mathematics
A Diophantine equation is an algebraic equation with several unknowns and integer coefficients
History
An essay about the 1956 “Dartmouth workshop”
Mathematics
Necessary and sufficient conditions
Mathematics
Calculating the relative skill of players in zero-sum games
Einstein
About six weeks before he submitted his doctoral thesis at the University of Zürich in 1905, Einstein on March 18th submitted the paper ‘Über einen die Erzeugung und Verwandlung des Lichtes betreffenden heuristischen Gesichttspunkt’) to ...
Mathematics
Estimating the efficiency of tip-to-tip stimulation
Physics
If asset prices in the short term show an identifiable pattern, won’t speculators will find this pattern and exploit it, thereby…
Mathematics
How do you like them apples?