Series
The Basel Problem: 1+1/2² + 1/3² +… = π²/6
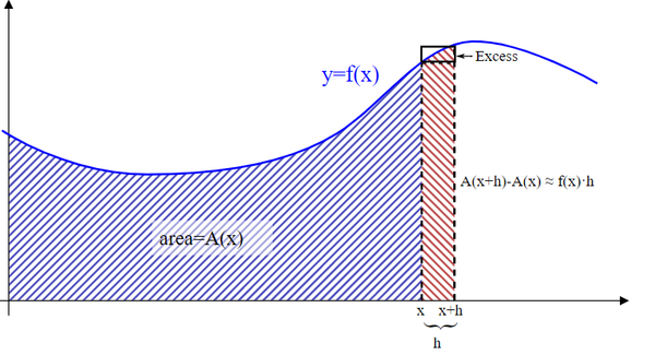
Solving the Basel problem, using an elementary introduction to Fourier series! Part 0: Motivation, some History, and Welcome! Hello and welcome! We are going to be tackling a beautiful problem, the ‘Basel Problem’. It was posed in 1650 by Pietro Mengoli, and it took 84 years to solve it, when