Analysis
Euler’s Log-Sine Integral
Let’s discover the ingenious, yet simple, solution to Euler’s Log-Sine integral
Analysis
Let’s discover the ingenious, yet simple, solution to Euler’s Log-Sine integral
Calculus
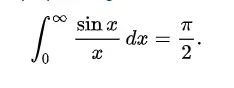
The Dirichlet integral was first solved by the brilliant Leonhard Euler, it then achieved fame with Dirichlet’s work on Fourier series…
Practical Mathematics
The Toom-Cook Algorithm
Analysis
Using only elementary methods we will prove the Fundamental Theorem of Algebra. Along the way, we’ll befriend some key ideas from…
Graph Theory
Let’s solve a nice problem brought to my attention by Lawrence Bryan. Thank you Lawrence :)
Complex Analysis
Let’s prove a beautiful Theorem from complex analysis!! For the determined amateur with some knowledge of 12th grade math and calculus.
Calculus
Lord Kelvin wrote of this integral: “A mathematician is one to whom that is as obvious as that twice two makes four is to you. Liouville…
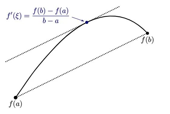
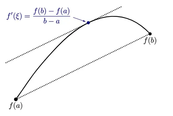
Analysis
Let’s prove one of the most important theorems in elementary analysis! The only requirement is an elementary understanding of derivatives.
Set Theory
The quick and dirty guide to one of the stranger mathematical curiosities.
Set Theory
“No one will drive us from the paradise which Cantor created for us” — David Hilbert
Analysis
…And the Foundations of Calculus
Number Theory
… and how to compare the infinite?