Electromagnetism
Electricity, Gravity and Statics
Electrogravitostatics
Electromagnetism
Electrogravitostatics
Physics
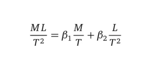
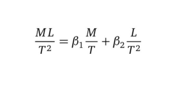
Mathematical operations that involve Newton’s gravitational constant are extremely counter intuitive at the subatomic level.
Physics
What they are, how they form, types & shapes, and how they die
Computer Science
What amount of effort really goes towards formulation?
Physics
Wave Properties of Matter in Gravitational Fields
Physics
In theoretical physics, the Lorentz factor is a term by which relativistic mass, time, and length changes for an object in motion.
Physics
This question must have crossed your mind at least once, even though you may not be so much of a fan of mathematics. If you are a curious…