Calculus
Walking On A Grid
Nothing like a late night walk on a grid to see things clearly
Calculus
Nothing like a late night walk on a grid to see things clearly
Calculus
How modern calculus of variations solved an ancient math problem.
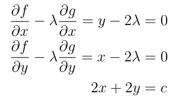
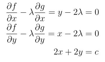
Optimization
How to solve constrained optimization problems.
Calculus
The knowledge of which geometry aims is the knowledge of the eternal. — Plato
Calculus
The beginner’s guide to proving the Fundamental Theorem of Calculus, with both a visual approach for those less keen on algebra, and an…
Calculus
The Dirichlet integral was first solved by the brilliant Leonhard Euler, it then achieved fame with Dirichlet’s work on Fourier series…
Newton
Newton’s Notes on Calculus During the Great Plague of London and Letter to Leibniz
Calculus
Lord Kelvin wrote of this integral: “A mathematician is one to whom that is as obvious as that twice two makes four is to you. Liouville…
Calculus
The first experience with calculus is usually quite memorable for most of us. For some it introduces a tool of immense beauty and…
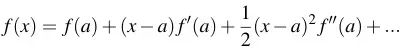
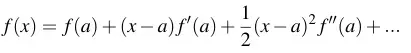
Analysis
We take a deeper look at what Taylor Series does and how we can obtain polynomials for approximating non-polynomial functions.
Calculus
For the determined amateur
Mathematics
Approximating functions near points. It’s cooler than it sounds, trust me.