Prime Numbers
The Twin Prime Conjecture
Are there infinitely many primes p such that p + 2 is prime?
Prime Numbers
Are there infinitely many primes p such that p + 2 is prime?
Complex Analysis
How to Extend the Domain of Analytic Functions
Grothendieck
Mathematician Alexander Grothendieck was born in 1928 to anarchist parents who left him to spend the majority of his formative years with foster parents.
Mathematics
Before terrorist Theodore John Kaczynski (1942-) began sending mail-bombs to faculty members at various American universities, he had a promising career in mathematics.
Wiener
American mathematician Norbert Wiener (1894–1964) was by all accounts, a very peculiar man. After graduating from high school at 11 years old, he entered Tufts College and within three years was awarded an A.B. in mathematics.
Analysis
We take a deeper look at what Taylor Series does and how we can obtain polynomials for approximating non-polynomial functions.
Mathematics
Pioneering British computer scientist and mathematician Alan Turing first arrived in America on the 28th of September 1936.
Topology
Get $1 million if you solve this math problem.
Analysis
Ways of determining when an equation is equal to zero
Fourier
A Basic Overview & Visual Introduction To The Magic Of Waves
History
How Nazism Destroyed Science in Germany
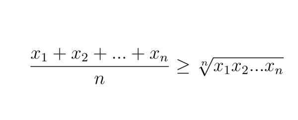
Mathematics
Suppose that x and y are non-negative real numbers, not necessarily distinct. The famous arithmetic-geometric mean inequality says that: