Fermat
Pierre de Fermat is Much More Than His Little and Last Theorem
A journey through Fermat’s pseudoprimes and Fermat numbers
Fermat
A journey through Fermat’s pseudoprimes and Fermat numbers
Euler
It is so famous and well-known, that I feel adding any praise to it would only decrease its value :) It is often cited as one of the most beautiful equations ever, by maths funs and others as well.
Abstract Algebra
Modern results on a problem from the 1800s.
Infinity
How many numbers of each type are there? Can two infinities be equal? Can one infinity be larger than another infinity?
Number Theory
Two integers differ by 22. Each, when multiplied by its successor, yields an eight-digit palindrome. What is the smaller of the two?
Number Theory
The Fibonacci Sequence is one of the cornerstones of the math world. Fibonacci initially came up with the sequence in order to model the…
Open Problem
“Mathematics may not be ready for such problems.”
Number Theory
An algorithm from ancient Greece
Number Theory
Leonhard Euler (15 April 1707–18 September 1783) was a Swiss mathematician, who is considered to be one the greatest mathematicians of all…
Prime Numbers
Relating the powers of two with primes and perfect numbers
Number Theory
How Hippasus of Metapontum ended up being drowned at sea for coming up with a groundbreaking proof.
Number Theory
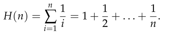
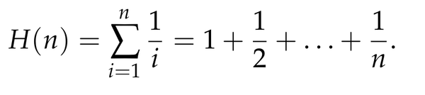
We discuss the famous harmonic sum and describe a simple way to approximate it.